Официальное опубликование правовых актов
ОФИЦИАЛЬНОЕ ОПУБЛИКОВАНИЕ
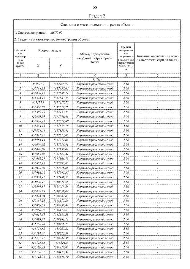
Постановление Главного управления архитектуры и градостроительства Рязанской области от 11.11.2021 № 511-п
"Об утверждении правил землепользования и застройки муниципального образования – Ходынинское сельское поселение Рыбновского муниципального района Рязанской области"
Номер опубликования: 6201202111120003
Дата опубликования: 12.11.2021
Страница №97 из 151:
Увеличить