Официальное опубликование правовых актов
ОФИЦИАЛЬНОЕ ОПУБЛИКОВАНИЕ
Постановление Главного управления архитектуры и градостроительства Рязанской области от 10.11.2021 № 510-п
"Об утверждении генерального плана муниципального образования – Вослебовское сельское поселение Скопинского муниципального района Рязанской области"
Номер опубликования: 6201202111150012
Дата опубликования: 15.11.2021
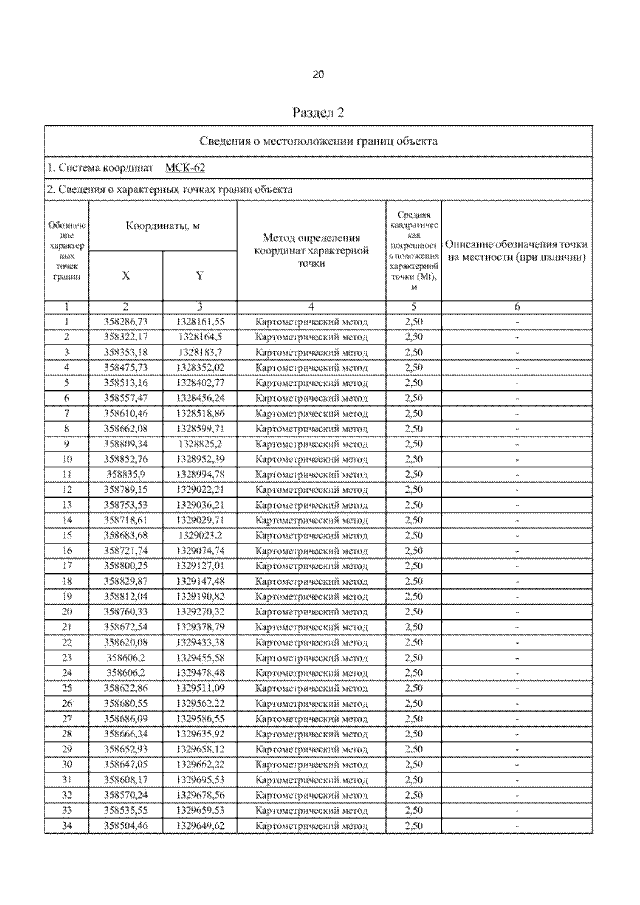
Страница №33 из 72:
Увеличить