Официальное опубликование правовых актов
ОФИЦИАЛЬНОЕ ОПУБЛИКОВАНИЕ
Постановление Главного управления архитектуры и градостроительства Рязанской области от 12.11.2021 № 521-п
"Об утверждении правил землепользования и застройки муниципального образования – Павловское сельское поселение Милославского муниципального района Рязанской области"
Номер опубликования: 6201202111160001
Дата опубликования: 16.11.2021
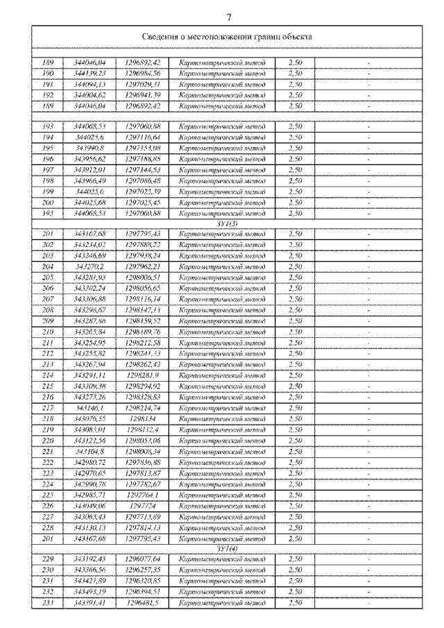
Страница №39 из 113:
Увеличить