Официальное опубликование правовых актов
ОФИЦИАЛЬНОЕ ОПУБЛИКОВАНИЕ
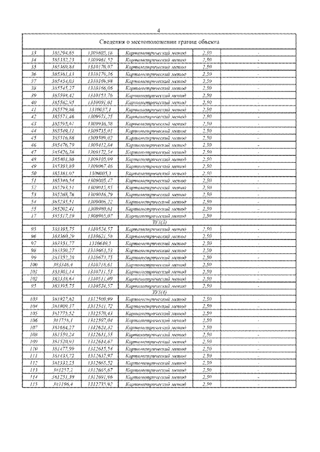
Постановление Главного управления архитектуры и градостроительства Рязанской области от 12.11.2021 № 524-п
"Об утверждении правил землепользования и застройки муниципального образования – Октябрьское сельское поселение Пронского муниципального района Рязанской области"
Номер опубликования: 6201202111160003
Дата опубликования: 16.11.2021
Страница №40 из 91:
Увеличить