Официальное опубликование правовых актов
ОФИЦИАЛЬНОЕ ОПУБЛИКОВАНИЕ
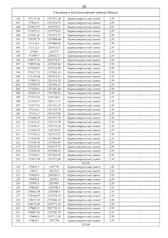
Постановление Главного управления архитектуры и градостроительства Рязанской области от 12.11.2021 № 522-п
"Об утверждении правил землепользования и застройки муниципального образования – Чернослободское сельское поселение Шацкого муниципального района Рязанской области"
Номер опубликования: 6201202111160009
Дата опубликования: 16.11.2021
Страница №65 из 72:
Увеличить