Официальное опубликование правовых актов
ОФИЦИАЛЬНОЕ ОПУБЛИКОВАНИЕ
Постановление Главного управления "Региональная энергетическая комиссия" Рязанской области от 16.11.2021 № 111
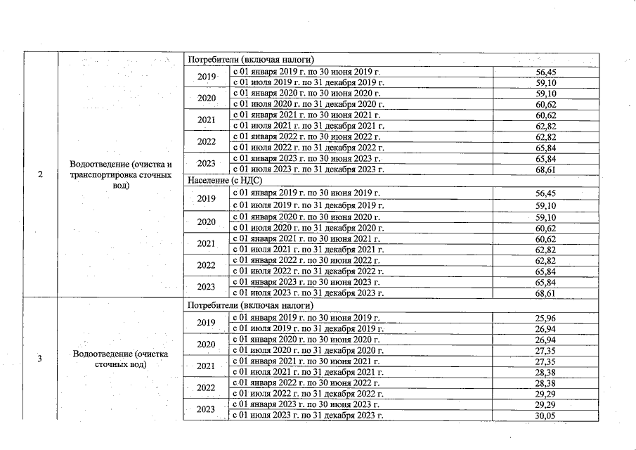
"О внесении изменений в постановление ГУ РЭК Рязанской области от 6 декабря 2018 г. № 289 "Об установлении тарифов на питьевую воду в сфере холодного водоснабжения, водоотведение (очистка и транспортировка сточных вод), водоотведение (очистка сточных вод) для потребителей МУП ЖКХ "Быт" (Рязанский муниципальный район)"
Номер опубликования: 6201202111180013
Дата опубликования: 18.11.2021
Страница №5 из 7:
Увеличить