Официальное опубликование правовых актов
ОФИЦИАЛЬНОЕ ОПУБЛИКОВАНИЕ
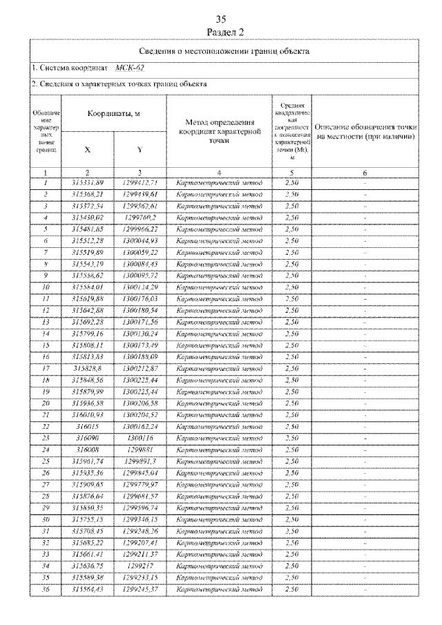
Постановление Главного управления архитектуры и градостроительства Рязанской области от 23.11.2021 № 533-п
"Об утверждении генерального плана муниципального образования – Кочуровское сельское поселение Милославского муниципального района Рязанской области"
Номер опубликования: 6201202111250001
Дата опубликования: 25.11.2021
Страница №45 из 77:
Увеличить