Официальное опубликование правовых актов
ОФИЦИАЛЬНОЕ ОПУБЛИКОВАНИЕ
Постановление Главного управления "Региональная энергетическая комиссия" Рязанской области от 23.11.2021 № 124
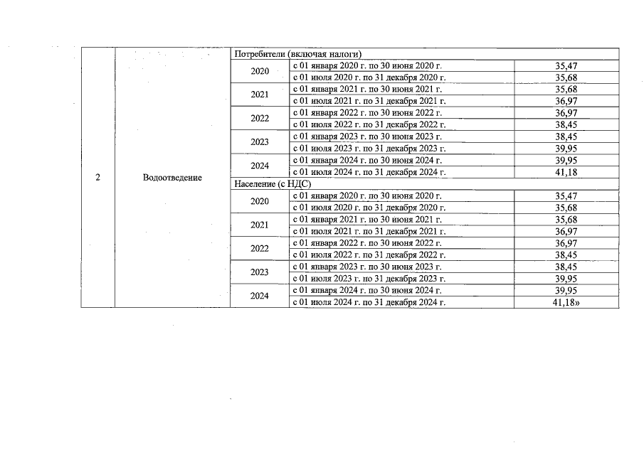
"О внесении изменений в постановление ГУ РЭК Рязанской области от 19 ноября 2019 г. № 213 "Об установлении тарифов на питьевую воду в сфере холодного водоснабжения, водоотведение для потребителей МКП "Октябрьское" (Михайловский муниципальный район)"
Номер опубликования: 6201202111250016
Дата опубликования: 25.11.2021
Страница №5 из 6:
Увеличить