Официальное опубликование правовых актов
ОФИЦИАЛЬНОЕ ОПУБЛИКОВАНИЕ
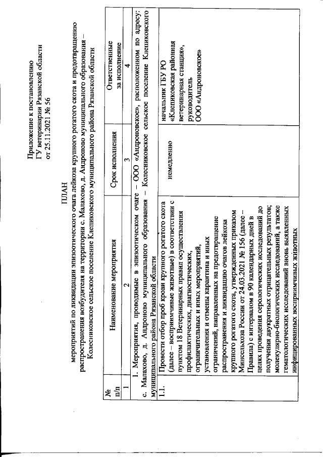
Постановление Главного управления ветеринарии Рязанской области от 25.11.2021 № 56
"Об установлении ограничительных мероприятий (карантина) по лейкозу крупного рогатого скота на территории муниципального образования – Клепиковский муниципальный район Рязанской области"
Номер опубликования: 6201202111260001
Дата опубликования: 26.11.2021
Страница №4 из 9:
Увеличить