Официальное опубликование правовых актов
ОФИЦИАЛЬНОЕ ОПУБЛИКОВАНИЕ
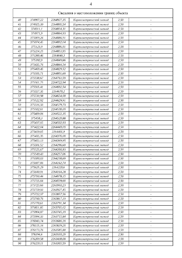
Постановление Главного управления архитектуры и градостроительства Рязанской области от 01.12.2021 № 560-п
"Об утверждении генерального плана муниципального образования – Шацкое городское поселение Шацкого муниципального района Рязанской области"
Номер опубликования: 6201202112020003
Дата опубликования: 02.12.2021
Страница №16 из 19:
Увеличить