Официальное опубликование правовых актов
ОФИЦИАЛЬНОЕ ОПУБЛИКОВАНИЕ
Постановление Главного управления архитектуры и градостроительства Рязанской области от 01.12.2021 № 558-п
"Об утверждении правил землепользования и застройки муниципального образования – Нижнеякимецкое сельское поселение Александро-Невского муниципального района Рязанской области"
Номер опубликования: 6201202112020008
Дата опубликования: 02.12.2021
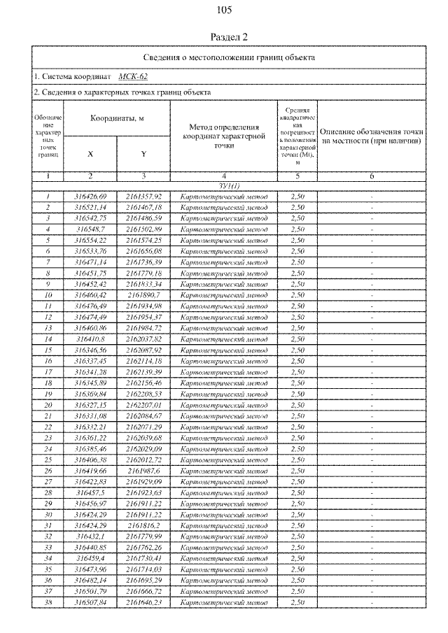
Страница №149 из 168:
Увеличить