Официальное опубликование правовых актов
ОФИЦИАЛЬНОЕ ОПУБЛИКОВАНИЕ
Постановление Главного управления архитектуры и градостроительства Рязанской области от 02.12.2021 № 563-п
"Об утверждении правил землепользования и застройки муниципального образования – Вослебовское сельское поселение Скопинского муниципального района Рязанской области"
Номер опубликования: 6201202112060016
Дата опубликования: 06.12.2021
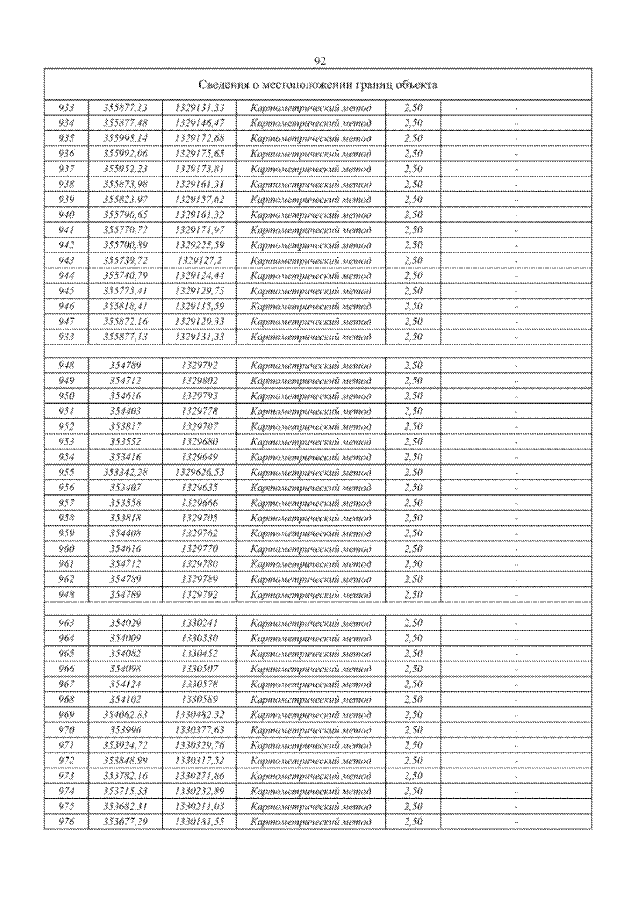
Страница №134 из 272:
Увеличить