Официальное опубликование правовых актов
ОФИЦИАЛЬНОЕ ОПУБЛИКОВАНИЕ
Постановление Главного управления архитектуры и градостроительства Рязанской области от 07.12.2021 № 570-п
"Об утверждении генерального плана муниципального образования – Захаровское сельское поселение Захаровского муниципального района Рязанской области"
Номер опубликования: 6201202112080004
Дата опубликования: 08.12.2021
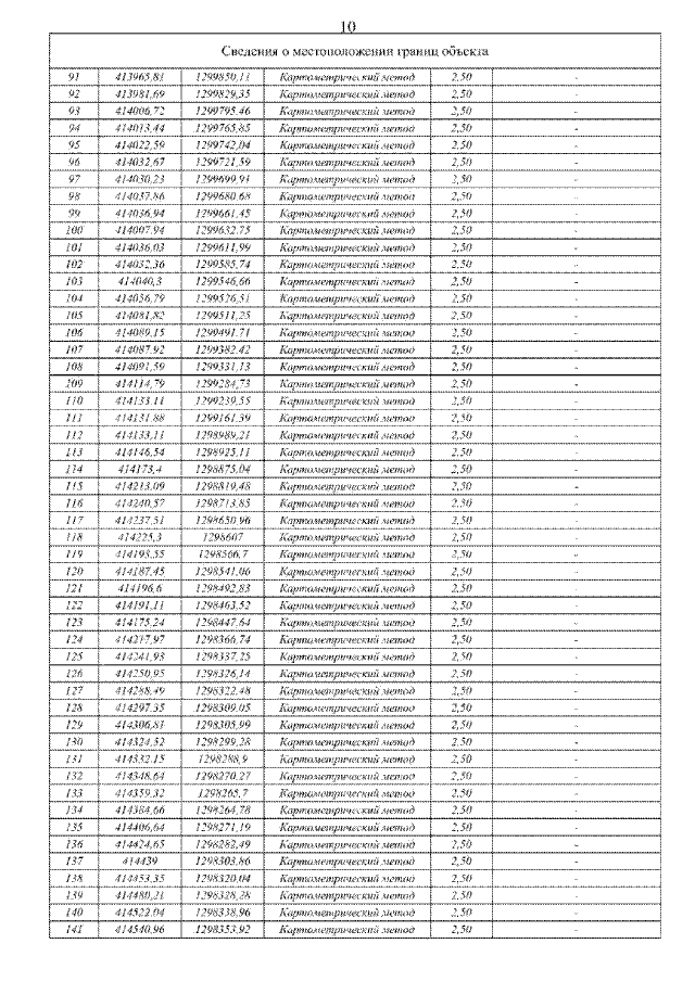
Страница №23 из 29:
Увеличить