Официальное опубликование правовых актов
ОФИЦИАЛЬНОЕ ОПУБЛИКОВАНИЕ
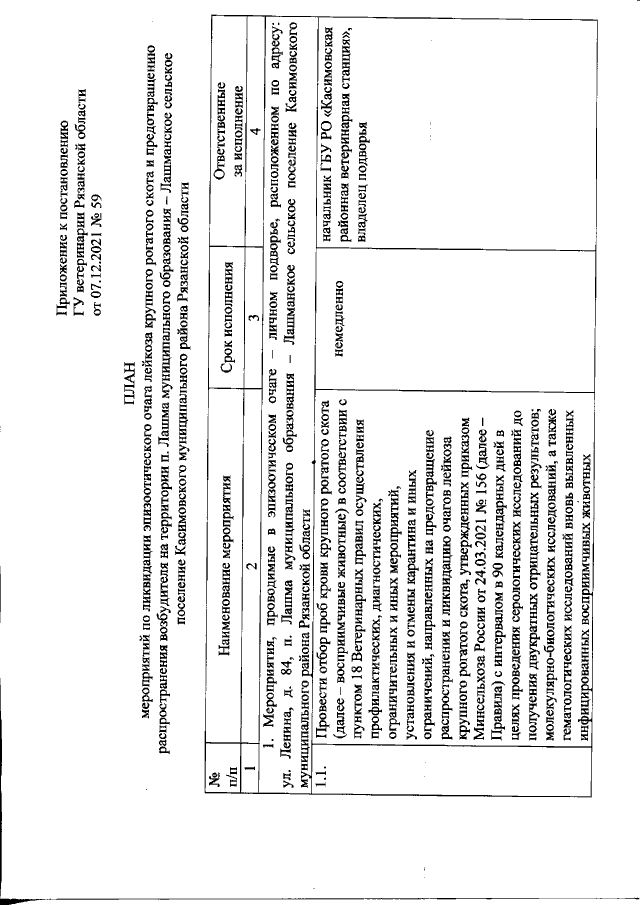
Постановление Главного управления ветеринарии Рязанской области от 07.12.2021 № 59
"Об установлении ограничительных мероприятий (карантина) по лейкозу крупного рогатого скота на территории муниципального образования – Касимовский муниципальный район Рязанской области"
Номер опубликования: 6201202112090001
Дата опубликования: 09.12.2021
Страница №4 из 7:
Увеличить