Официальное опубликование правовых актов
ОФИЦИАЛЬНОЕ ОПУБЛИКОВАНИЕ
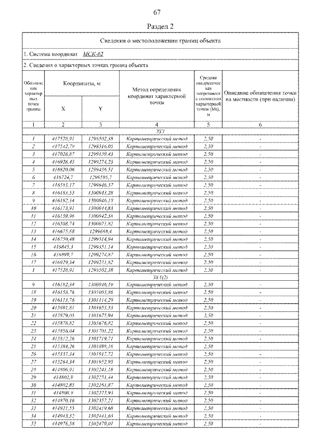
Постановление Главного управления архитектуры и градостроительства Рязанской области от 09.12.2021 № 579-п
"Об утверждении правил землепользования и застройки муниципального образования – Захаровское сельское поселение Захаровского муниципального района Рязанской области"
Номер опубликования: 6201202112130001
Дата опубликования: 13.12.2021
Страница №118 из 196:
Увеличить