Официальное опубликование правовых актов
ОФИЦИАЛЬНОЕ ОПУБЛИКОВАНИЕ
Постановление Главного управления архитектуры и градостроительства Рязанской области от 15.12.2021 № 600-п
"Об утверждении генерального плана муниципального образования – Пеньковское сельское поселение Пителинского муниципального района Рязанской области"
Номер опубликования: 6201202112170001
Дата опубликования: 17.12.2021
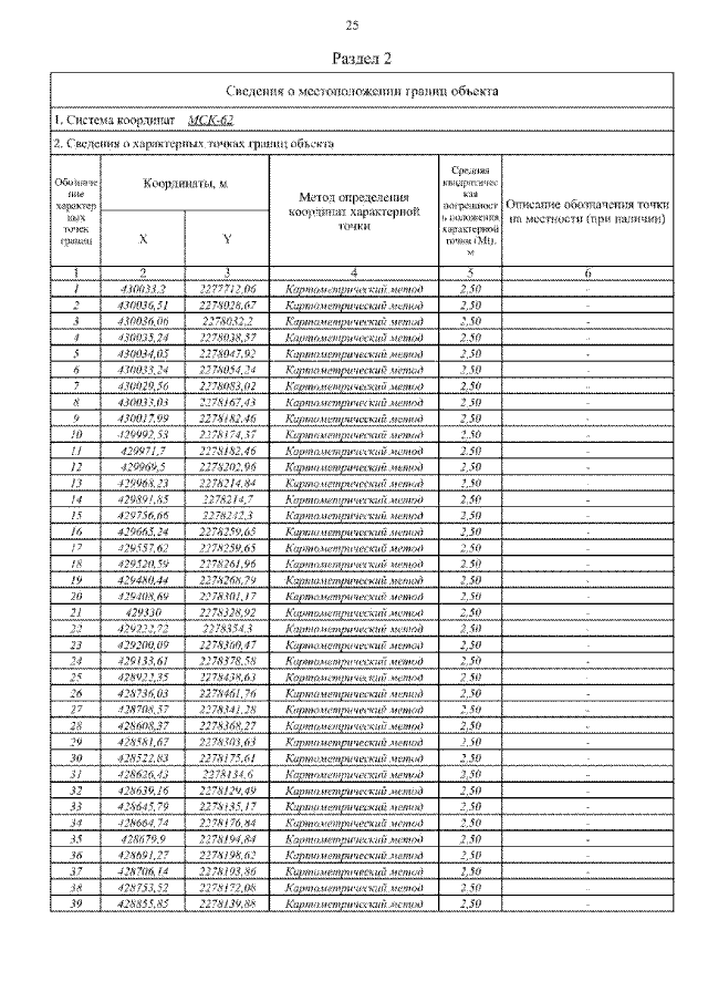
Страница №35 из 63:
Увеличить