Официальное опубликование правовых актов
ОФИЦИАЛЬНОЕ ОПУБЛИКОВАНИЕ
Постановление Главного управления архитектуры и градостроительства Рязанской области от 16.12.2021 № 603-п
"Об утверждении правил землепользования и застройки муниципального образования – Пеньковское сельское поселение Пителинского муниципального района Рязанской области"
Номер опубликования: 6201202112170003
Дата опубликования: 17.12.2021
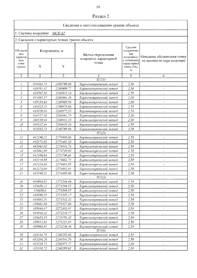
Страница №76 из 78:
Увеличить