Постановление Главного управления "Региональная энергетическая комиссия" Рязанской области от 16.12.2021 № 268
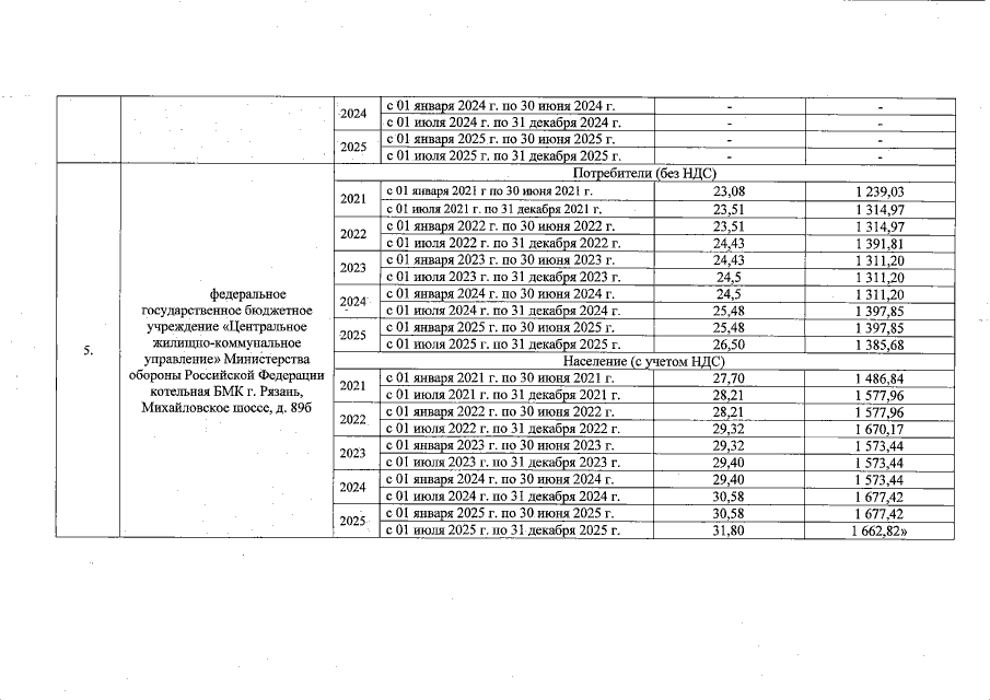
"О внесении изменений в постановление ГУ РЭК Рязанской области от 17 декабря 2020 г. № 311 "Об установлении тарифа на горячую воду для потребителей федерального государственного бюджетного учреждения "Центральное жилищно-коммунальное управление" Министерства обороны Российской Федерации на территории Рязанской области"
"О внесении изменений в постановление ГУ РЭК Рязанской области от 17 декабря 2020 г. № 311 "Об установлении тарифа на горячую воду для потребителей федерального государственного бюджетного учреждения "Центральное жилищно-коммунальное управление" Министерства обороны Российской Федерации на территории Рязанской области"
Номер опубликования: 6201202112200019
Дата опубликования:
20.12.2021
