Официальное опубликование правовых актов
ОФИЦИАЛЬНОЕ ОПУБЛИКОВАНИЕ
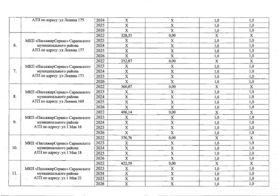
Постановление Главного управления "Региональная энергетическая комиссия" Рязанской области от 17.12.2021 № 300
"О тарифах на тепловую энергию для потребителей МКП "ПассажирСервис" Сараевского муниципального района"
Номер опубликования: 6201202112210001
Дата опубликования: 21.12.2021
Страница №4 из 4:
Увеличить