Официальное опубликование правовых актов
ОФИЦИАЛЬНОЕ ОПУБЛИКОВАНИЕ
Постановление Главного управления архитектуры и градостроительства Рязанской области от 17.12.2021 № 604-п
"Об утверждении генерального плана муниципального образования – Каширинское сельское поселение Александро-Невского муниципального района Рязанской области"
Номер опубликования: 6201202112210033
Дата опубликования: 21.12.2021
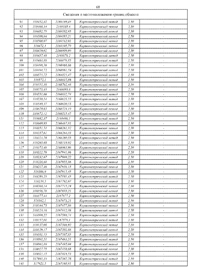
Страница №81 из 84:
Увеличить