Официальное опубликование правовых актов
ОФИЦИАЛЬНОЕ ОПУБЛИКОВАНИЕ
Постановление Главного управления архитектуры и градостроительства Рязанской области от 22.12.2021 № 620-п
"Об утверждении генерального плана муниципального образования – Погостинское сельское поселение Касимовского муниципального района Рязанской области"
Номер опубликования: 6201202112230004
Дата опубликования: 23.12.2021
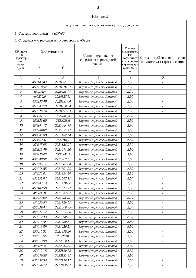
Страница №15 из 56:
Увеличить