Официальное опубликование правовых актов
ОФИЦИАЛЬНОЕ ОПУБЛИКОВАНИЕ
Постановление Главного управления архитектуры и градостроительства Рязанской области от 23.12.2021 № 622-п
"Об утверждении правил землепользования и застройки муниципального образования – Кораблинское городское поселение Кораблинского муниципального района Рязанской области"
Номер опубликования: 6201202112230005
Дата опубликования: 23.12.2021
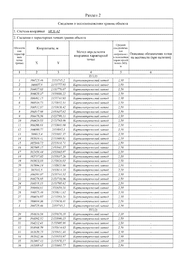
Страница №131 из 138:
Увеличить