Официальное опубликование правовых актов
ОФИЦИАЛЬНОЕ ОПУБЛИКОВАНИЕ
Постановление Главного управления архитектуры и градостроительства Рязанской области от 23.12.2021 № 623-п
"Об утверждении генерального плана муниципального образования – Пителинское городское поселение Пителинского муниципального района Рязанской области"
Номер опубликования: 6201202112240004
Дата опубликования: 24.12.2021
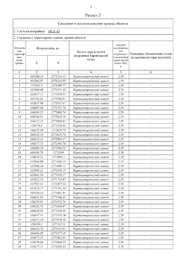
Страница №15 из 19:
Увеличить