Официальное опубликование правовых актов
ОФИЦИАЛЬНОЕ ОПУБЛИКОВАНИЕ
Постановление Главного управления архитектуры и градостроительства Рязанской области от 24.12.2021 № 635-п
"Об утверждении правил землепользования и застройки муниципального образования – Погостинское сельское поселение Касимовского муниципального района Рязанской области"
Номер опубликования: 6201202112280011
Дата опубликования: 28.12.2021
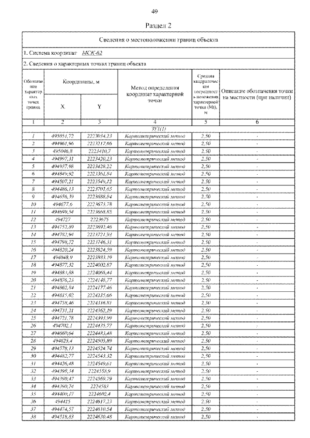
Страница №85 из 157:
Увеличить