Официальное опубликование правовых актов
ОФИЦИАЛЬНОЕ ОПУБЛИКОВАНИЕ
Постановление Главного управления архитектуры и градостроительства Рязанской области от 24.12.2021 № 634-п
"Об утверждении правил землепользования и застройки муниципального образования – Пителинское городское поселение Пителинского муниципального района Рязанской области"
Номер опубликования: 6201202112280013
Дата опубликования: 28.12.2021
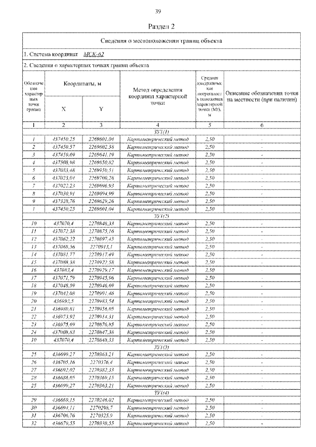
Страница №77 из 115:
Увеличить