Официальное опубликование правовых актов
ОФИЦИАЛЬНОЕ ОПУБЛИКОВАНИЕ
Постановление Главного управления "Региональная энергетическая комиссия" Рязанской области от 24.12.2021 № 374
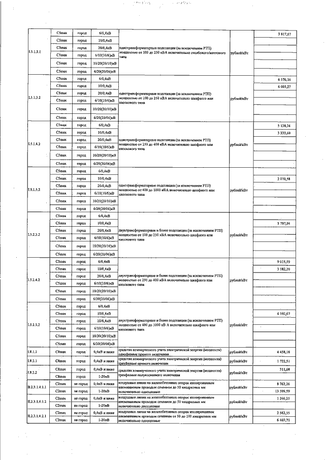
"Об установлении стандартизированных тарифных ставок, формул расчета платы за технологическое присоединение и ставок за единицу максимальной мощности для применения при расчете платы за технологическое присоединение на территории Рязанской области"
Номер опубликования: 6201202112280020
Дата опубликования: 28.12.2021
Страница №16 из 19:
Увеличить