Официальное опубликование правовых актов
ОФИЦИАЛЬНОЕ ОПУБЛИКОВАНИЕ
Постановление Главного управления архитектуры и градостроительства Рязанской области от 20.01.2022 № 21-п
"Об утверждении правил землепользования и застройки муниципального образования – Коноплинское сельское поселение Ухоловского муниципального района Рязанской области"
Номер опубликования: 6201202201210005
Дата опубликования: 21.01.2022
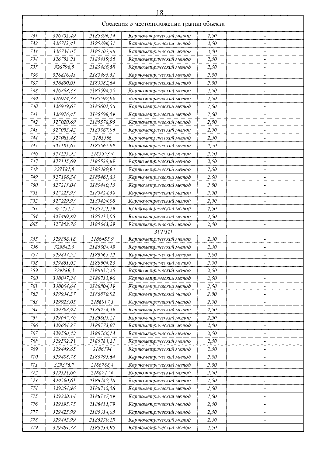
Страница №46 из 139:
Увеличить