Официальное опубликование правовых актов
ОФИЦИАЛЬНОЕ ОПУБЛИКОВАНИЕ
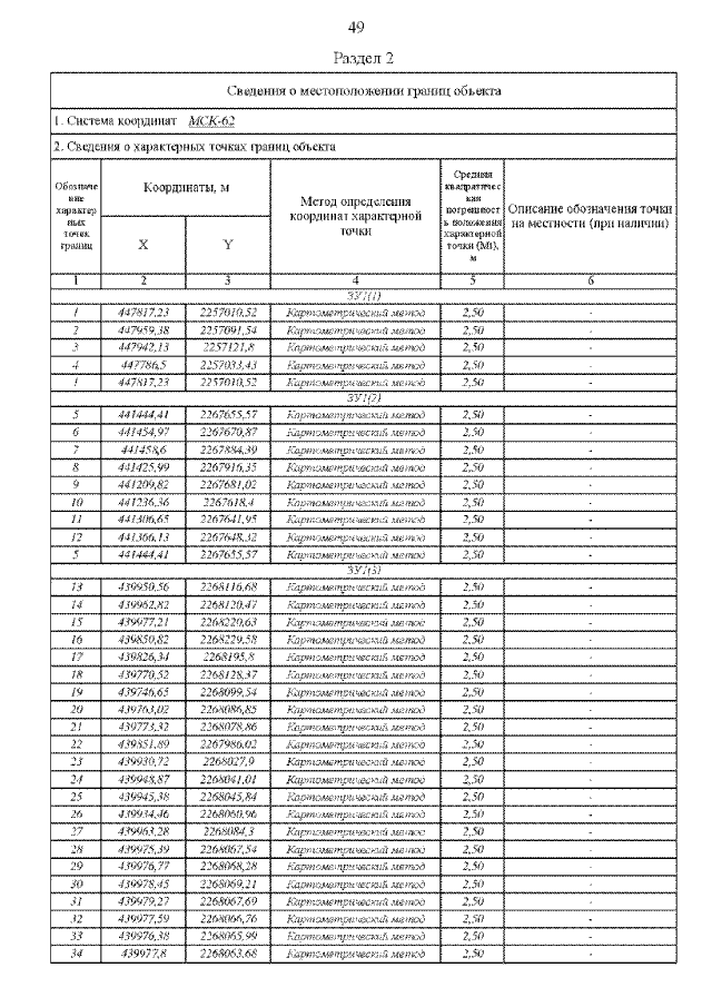
Постановление Главного управления архитектуры и градостроительства Рязанской области от 26.01.2022 № 28-п
"Об утверждении правил землепользования и застройки муниципального образования – Потапьевское сельское поселение Пителинского муниципального района Рязанской области"
Номер опубликования: 6201202201270004
Дата опубликования: 27.01.2022
Страница №77 из 275:
Увеличить