Официальное опубликование правовых актов
ОФИЦИАЛЬНОЕ ОПУБЛИКОВАНИЕ
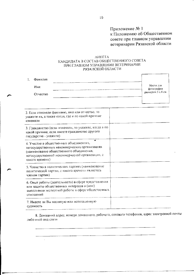
Постановление Главного управления ветеринарии Рязанской области от 27.01.2022 № 2
"Об утверждении Положения об Общественном совете при главном управлении ветеринарии Рязанской области"
Номер опубликования: 6201202201310005
Дата опубликования: 31.01.2022
Страница №10 из 12:
Увеличить