Официальное опубликование правовых актов
ОФИЦИАЛЬНОЕ ОПУБЛИКОВАНИЕ
Постановление Главного управления архитектуры и градостроительства Рязанской области от 27.01.2022 № 31-п
"Об утверждении генерального плана муниципального образования – Алешинское сельское поселение Сасовского муниципального района Рязанской области"
Номер опубликования: 6201202201310014
Дата опубликования: 31.01.2022
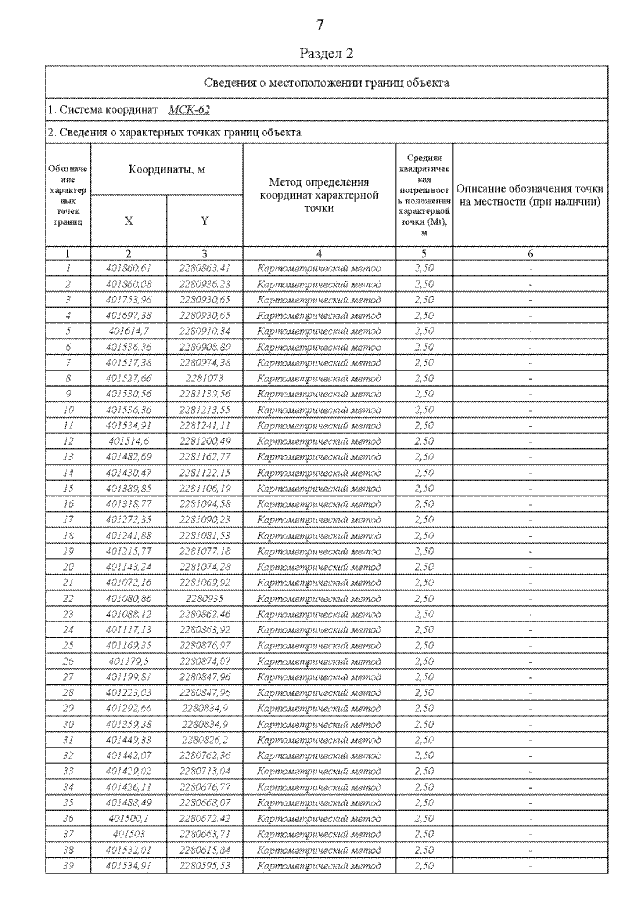
Страница №17 из 42:
Увеличить