Официальное опубликование правовых актов
ОФИЦИАЛЬНОЕ ОПУБЛИКОВАНИЕ
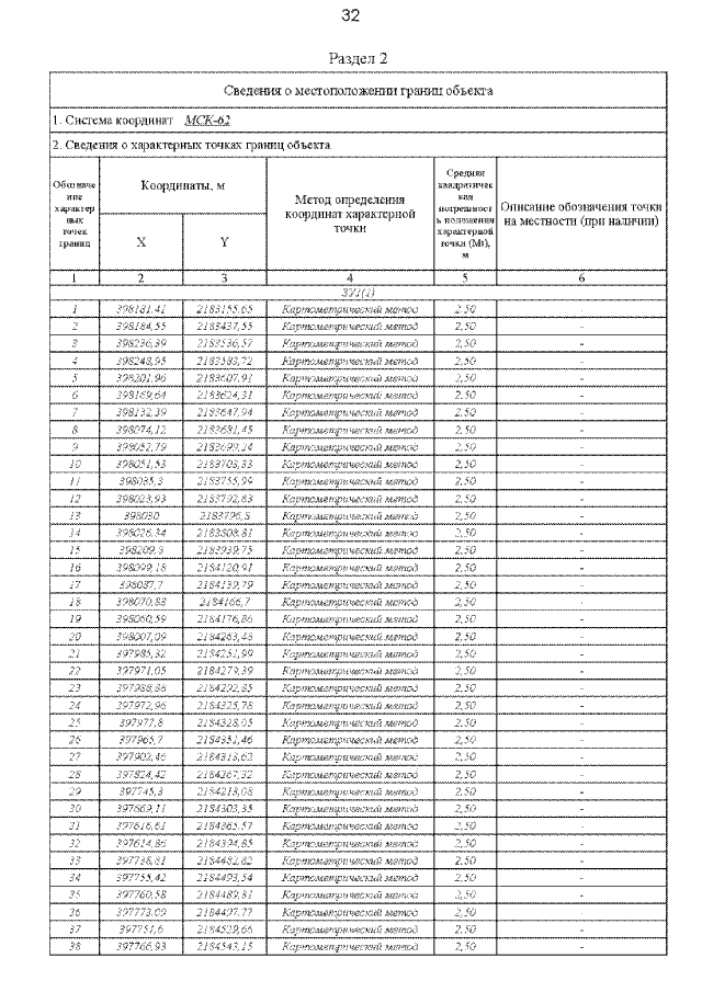
Постановление Главного управления архитектуры и градостроительства Рязанской области от 18.02.2022 № 68-п
"Об утверждении генерального плана муниципального образования – Лесновское городское поселение Шиловского муниципального района Рязанской области"
Номер опубликования: 6201202202220001
Дата опубликования: 22.02.2022
Страница №42 из 59:
Увеличить