Официальное опубликование правовых актов
ОФИЦИАЛЬНОЕ ОПУБЛИКОВАНИЕ
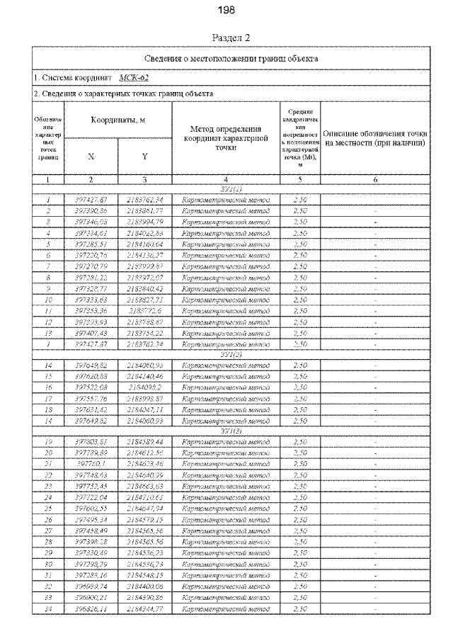
Постановление Главного управления архитектуры и градостроительства Рязанской области от 21.02.2022 № 70-п
"Об утверждении правил землепользования и застройки муниципального образования – Лесновское городское поселение Шиловского муниципального района Рязанской области"
Номер опубликования: 6201202202240001
Дата опубликования: 24.02.2022
Страница №236 из 250:
Увеличить