Официальное опубликование правовых актов
ОФИЦИАЛЬНОЕ ОПУБЛИКОВАНИЕ
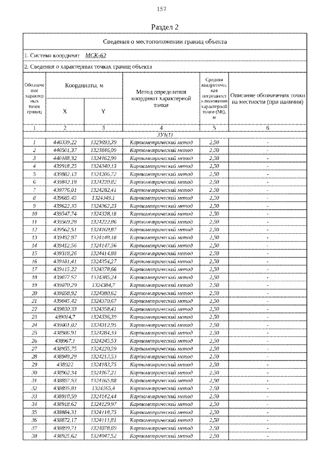
Постановление Главного управления архитектуры и градостроительства Рязанской области от 24.02.2022 № 71-п
"Об утверждении правил землепользования и застройки муниципального образования – Семеновское сельское поселение Рязанского муниципального района Рязанской области"
Номер опубликования: 6201202202250003
Дата опубликования: 25.02.2022
Страница №192 из 338:
Увеличить