Официальное опубликование правовых актов
ОФИЦИАЛЬНОЕ ОПУБЛИКОВАНИЕ
Постановление Главного управления архитектуры и градостроительства Рязанской области от 10.03.2022 № 112-п
"Об утверждении правил землепользования и застройки муниципального образования – Шиловское городское поселение Шиловского муниципального района Рязанской области"
Номер опубликования: 6201202203140002
Дата опубликования: 14.03.2022
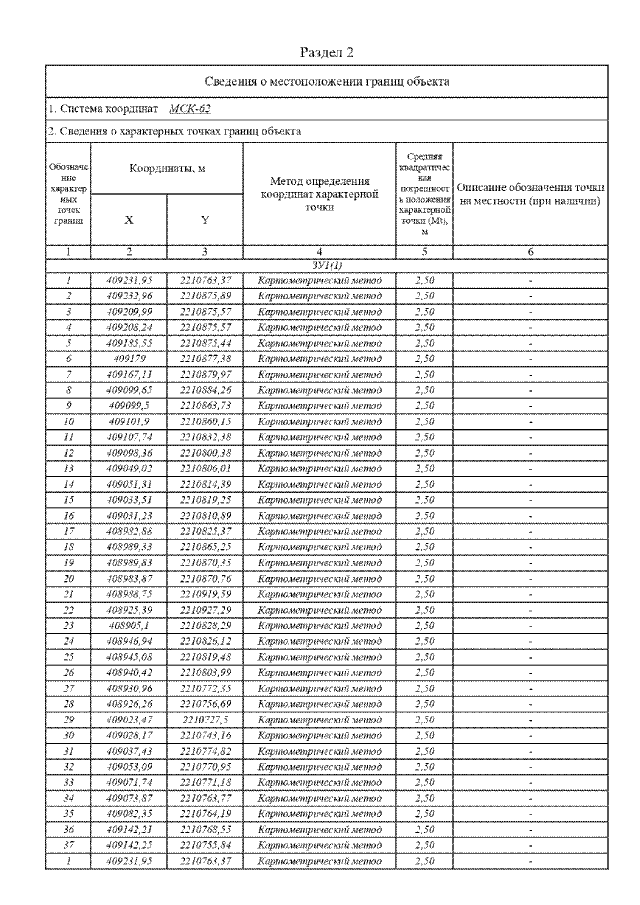
Страница №115 из 377:
Увеличить