Официальное опубликование правовых актов
ОФИЦИАЛЬНОЕ ОПУБЛИКОВАНИЕ
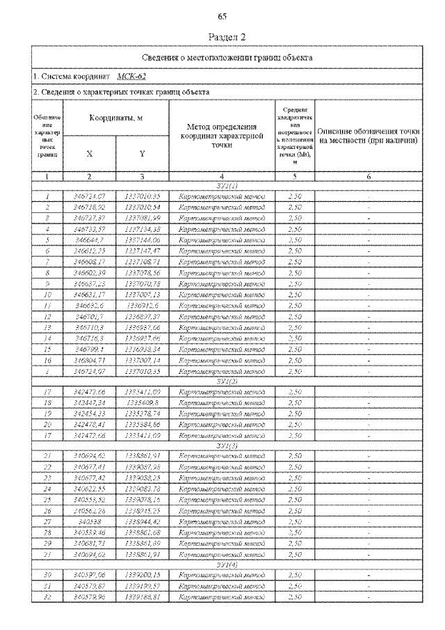
Постановление Главного управления архитектуры и градостроительства Рязанской области от 15.03.2022 № 121-п
"Об утверждении правил землепользования и застройки муниципального образования – Шелемишевское сельское поселение Скопинского муниципального района Рязанской области"
Номер опубликования: 6201202203170015
Дата опубликования: 17.03.2022
Страница №106 из 275:
Увеличить