Официальное опубликование правовых актов
ОФИЦИАЛЬНОЕ ОПУБЛИКОВАНИЕ
Постановление Главного управления архитектуры и градостроительства Рязанской области от 17.03.2022 № 130-п
"Об утверждении правил землепользования и застройки муниципального образования – Новомичуринское городское поселение Пронского муниципального района Рязанской области"
Номер опубликования: 6201202203180003
Дата опубликования: 18.03.2022
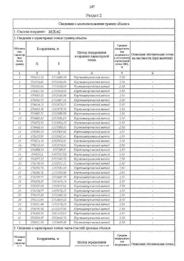
Страница №189 из 198:
Увеличить