Официальное опубликование правовых актов
ОФИЦИАЛЬНОЕ ОПУБЛИКОВАНИЕ
Постановление Главного управления архитектуры и градостроительства Рязанской области от 21.03.2022 № 132-п
"Об утверждении изменений в правила землепользования и застройки муниципального образования – Дубровическое сельское поселение Рязанского муниципального района Рязанской области"
Номер опубликования: 6201202203220002
Дата опубликования: 22.03.2022
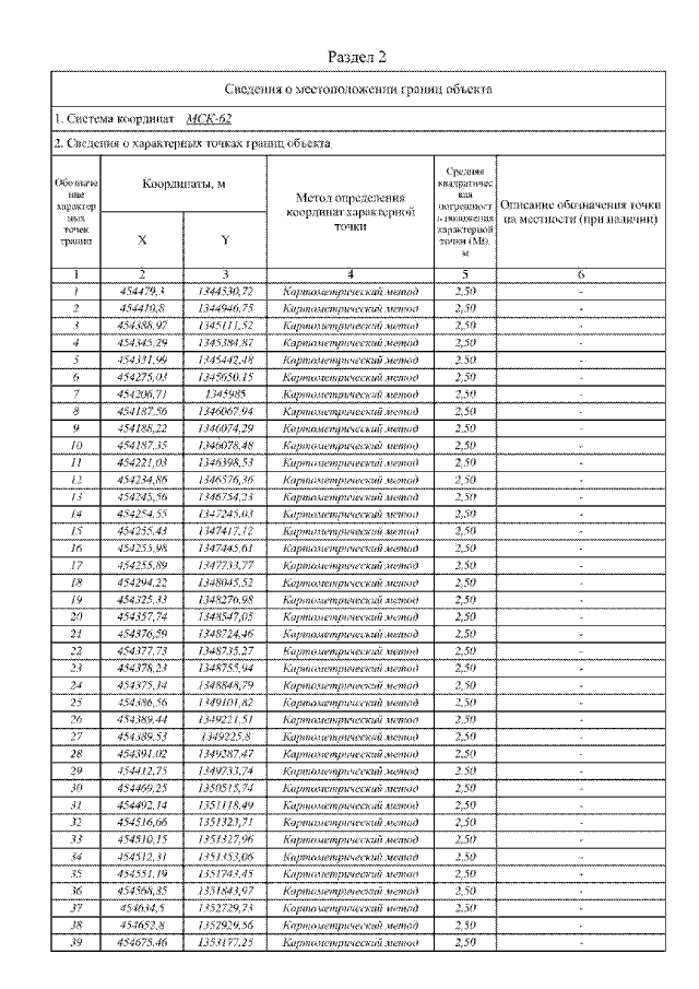
Страница №139 из 143:
Увеличить