Официальное опубликование правовых актов
ОФИЦИАЛЬНОЕ ОПУБЛИКОВАНИЕ
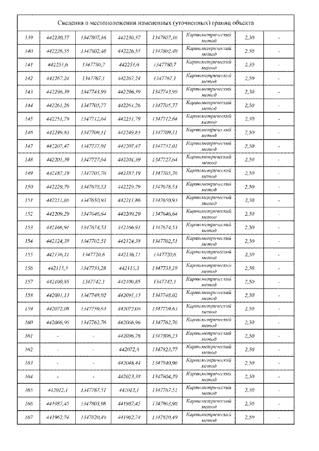
Постановление Главного управления архитектуры и градостроительства Рязанской области от 21.03.2022 № 131-п
"Об утверждении изменений в генеральный план муниципального образования – Дубровическое сельское поселение Рязанского муниципального района Рязанской области"
Номер опубликования: 6201202203220003
Дата опубликования: 22.03.2022
Страница №22 из 48:
Увеличить