Официальное опубликование правовых актов
ОФИЦИАЛЬНОЕ ОПУБЛИКОВАНИЕ
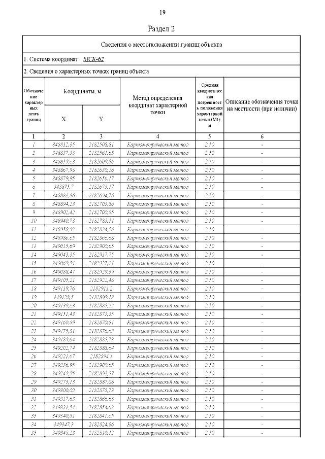
Постановление Главного управления архитектуры и градостроительства Рязанской области от 06.04.2022 № 168-п
"Об утверждении генерального плана муниципального образования – Ухоловское городское поселение Ухоловского муниципального района Рязанской области"
Номер опубликования: 6201202204070004
Дата опубликования: 07.04.2022
Страница №33 из 50:
Увеличить