Официальное опубликование правовых актов
ОФИЦИАЛЬНОЕ ОПУБЛИКОВАНИЕ
Постановление Главного управления архитектуры и градостроительства Рязанской области от 13.04.2022 № 183-п
"Об утверждении правил землепользования и застройки муниципального образования – Овчинниковское сельское поселение Касимовского муниципального района Рязанской области"
Номер опубликования: 6201202204140001
Дата опубликования: 14.04.2022
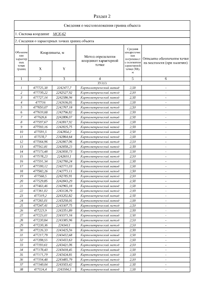
Страница №96 из 142:
Увеличить