Официальное опубликование правовых актов
ОФИЦИАЛЬНОЕ ОПУБЛИКОВАНИЕ
Постановление Главного управления архитектуры и градостроительства Рязанской области от 13.04.2022 № 179-п
"Об утверждении правил землепользования и застройки муниципального образования – Малостуденецкое сельское поселение Сасовского муниципального района Рязанской области"
Номер опубликования: 6201202204140005
Дата опубликования: 14.04.2022
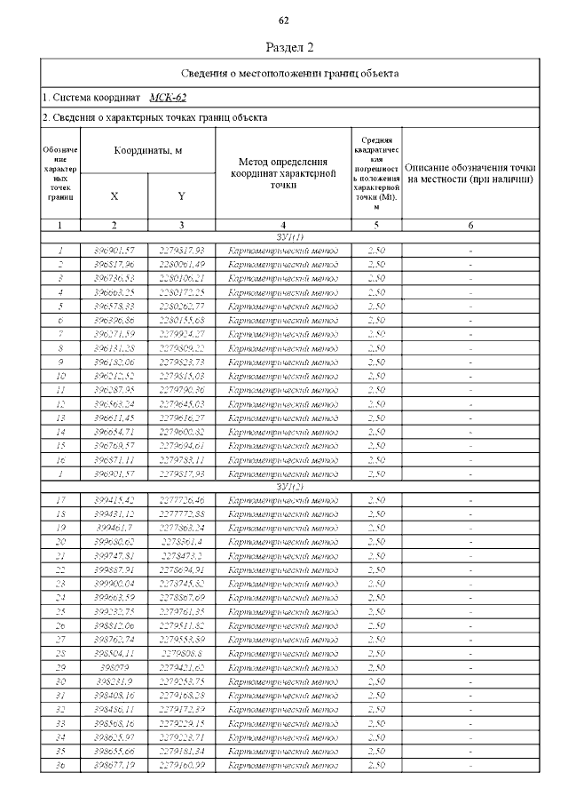
Страница №94 из 109:
Увеличить