Официальное опубликование правовых актов
ОФИЦИАЛЬНОЕ ОПУБЛИКОВАНИЕ
Постановление Главного управления архитектуры и градостроительства Рязанской области от 13.04.2022 № 180-п
"Об утверждении генерального плана муниципального образования – Овчинниковское сельское поселение Касимовского муниципального района Рязанской области"
Номер опубликования: 6201202204140006
Дата опубликования: 14.04.2022
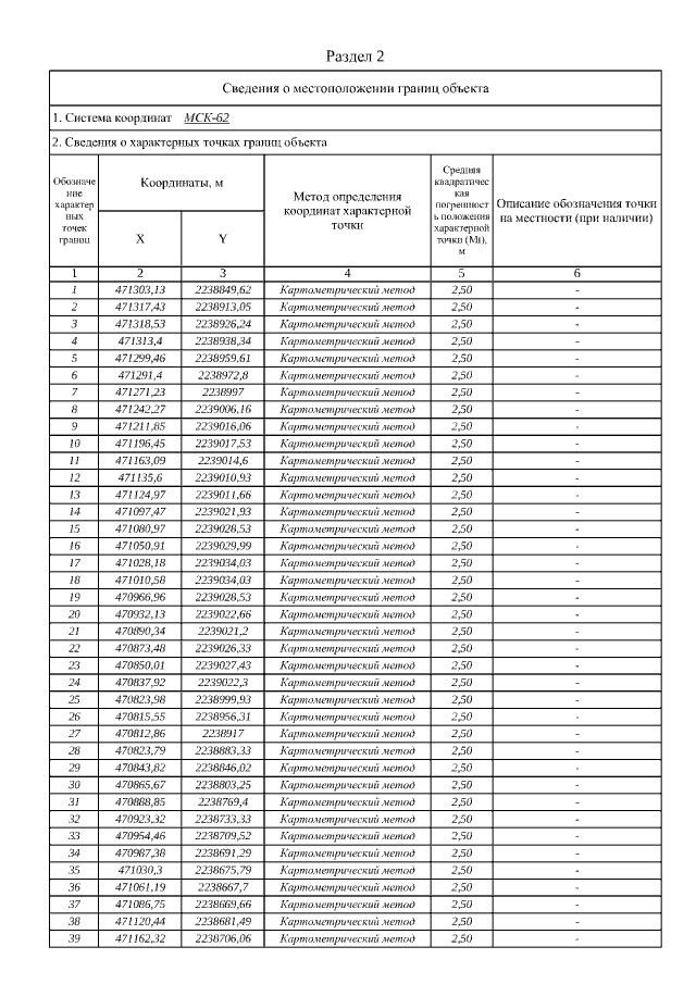
Страница №42 из 67:
Увеличить