Официальное опубликование правовых актов
ОФИЦИАЛЬНОЕ ОПУБЛИКОВАНИЕ
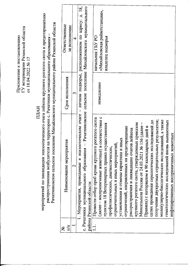
Постановление Главного управления ветеринарии Рязанской области от 18.04.2022 № 17
"Об установлении ограничительных мероприятий (карантина) по лейкозу крупного рогатого скота на территории муниципального образования – Михайловский муниципальный район Рязанской области"
Номер опубликования: 6201202204200012
Дата опубликования: 20.04.2022
Страница №4 из 7:
Увеличить