Официальное опубликование правовых актов
ОФИЦИАЛЬНОЕ ОПУБЛИКОВАНИЕ
Постановление Главного управления архитектуры и градостроительства Рязанской области от 26.04.2022 № 213-п
"Об утверждении правил землепользования и застройки муниципального образования – Ермишинское городское поселение Ермишинского муниципального района Рязанской области"
Номер опубликования: 6201202204280001
Дата опубликования: 28.04.2022
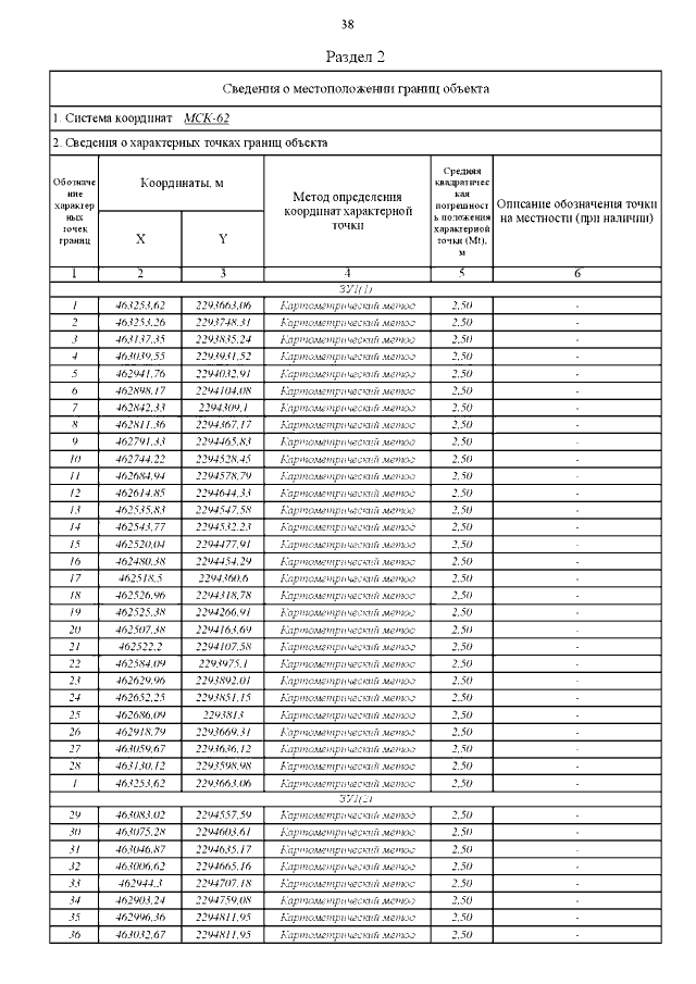
Страница №76 из 266:
Увеличить