Официальное опубликование правовых актов
ОФИЦИАЛЬНОЕ ОПУБЛИКОВАНИЕ
Постановление Главного управления архитектуры и градостроительства Рязанской области от 26.04.2022 № 214-п
"Об утверждении правил землепользования и застройки муниципального образования – городской округ город Сасово Рязанской области"
Номер опубликования: 6201202204280012
Дата опубликования: 28.04.2022
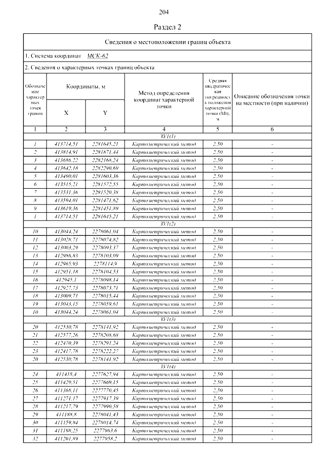
Страница №249 из 267:
Увеличить