Официальное опубликование правовых актов
ОФИЦИАЛЬНОЕ ОПУБЛИКОВАНИЕ
Постановление Главного управления архитектуры и градостроительства Рязанской области от 28.04.2022 № 225-п
"Об утверждении генерального плана муниципального образования – Нестеровское сельское поселение Пителинского муниципального района Рязанской области"
Номер опубликования: 6201202204290003
Дата опубликования: 29.04.2022
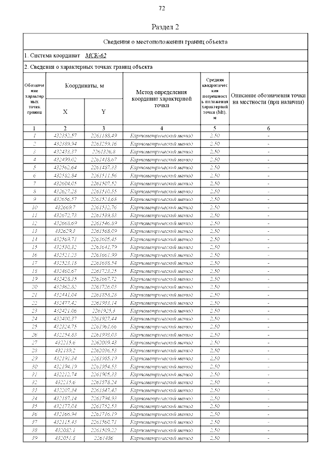
Страница №83 из 85:
Увеличить