Официальное опубликование правовых актов
ОФИЦИАЛЬНОЕ ОПУБЛИКОВАНИЕ
Постановление Главного управления архитектуры и градостроительства Рязанской области от 28.04.2022 № 226-п
"Об утверждении генерального плана муниципального образования – Панинское сельское поселение Спасского муниципального района Рязанской области"
Номер опубликования: 6201202205040003
Дата опубликования: 04.05.2022
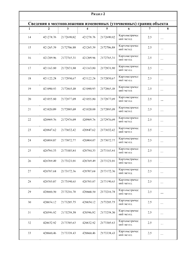
Страница №43 из 94:
Увеличить