Официальное опубликование правовых актов
ОФИЦИАЛЬНОЕ ОПУБЛИКОВАНИЕ
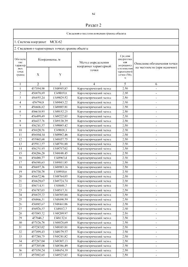
Постановление Главного управления архитектуры и градостроительства Рязанской области от 11.05.2022 № 233-п
"Об утверждении изменений в правила землепользования и застройки муниципального образования – Варсковское сельское поселение Рязанского муниципального района Рязанской области"
Номер опубликования: 6201202205130002
Дата опубликования: 13.05.2022
Страница №87 из 109:
Увеличить