Официальное опубликование правовых актов
ОФИЦИАЛЬНОЕ ОПУБЛИКОВАНИЕ
Постановление Главного управления архитектуры и градостроительства Рязанской области от 18.05.2022 № 250-п
"Об утверждении генерального плана муниципального образования – Гиблицкое сельское поселение Касимовского муниципального района Рязанской области"
Номер опубликования: 6201202205190004
Дата опубликования: 19.05.2022
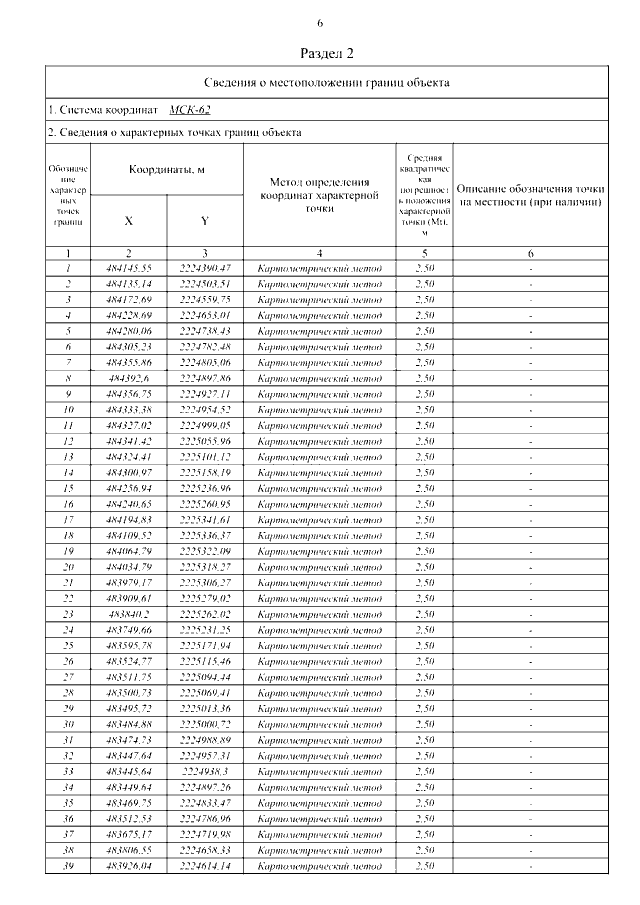
Страница №17 из 36:
Увеличить