Официальное опубликование правовых актов
ОФИЦИАЛЬНОЕ ОПУБЛИКОВАНИЕ
Постановление Главного управления архитектуры и градостроительства Рязанской области от 18.05.2022 № 251-п
"Об утверждении изменений в правила землепользования и застройки муниципального образования – Полянское сельское поселение Рязанского муниципального района Рязанской области"
Номер опубликования: 6201202205200004
Дата опубликования: 20.05.2022
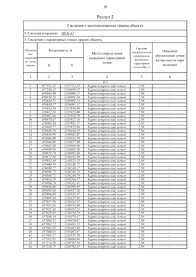
Страница №34 из 41:
Увеличить